Ikuti Kami:
Hubungi Kami: 6285218755889
T3

Forklifts Diesel:

T3

Opsi Produk

20T3

Spesifikasi

20T3

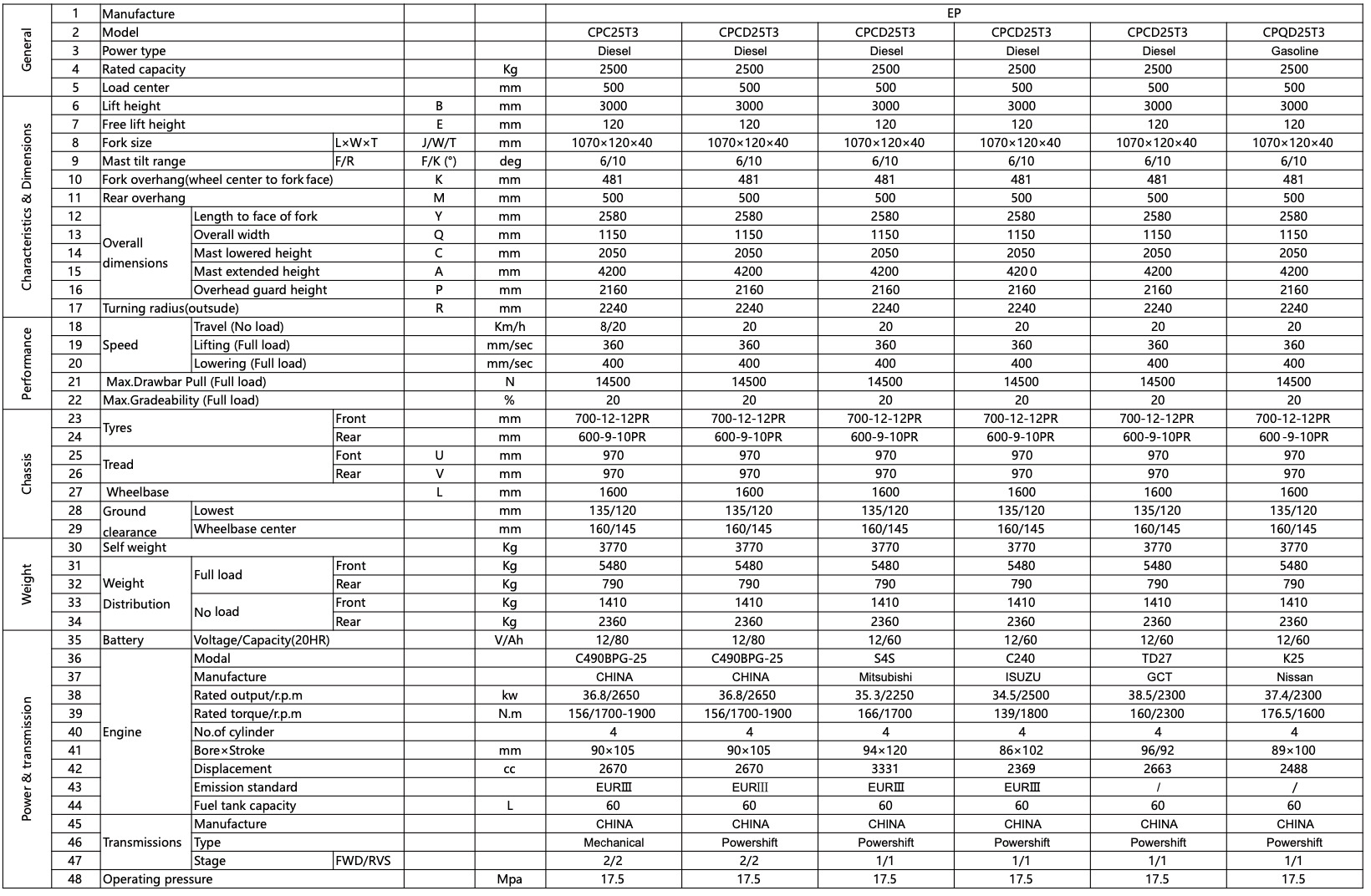
25T3

30T3

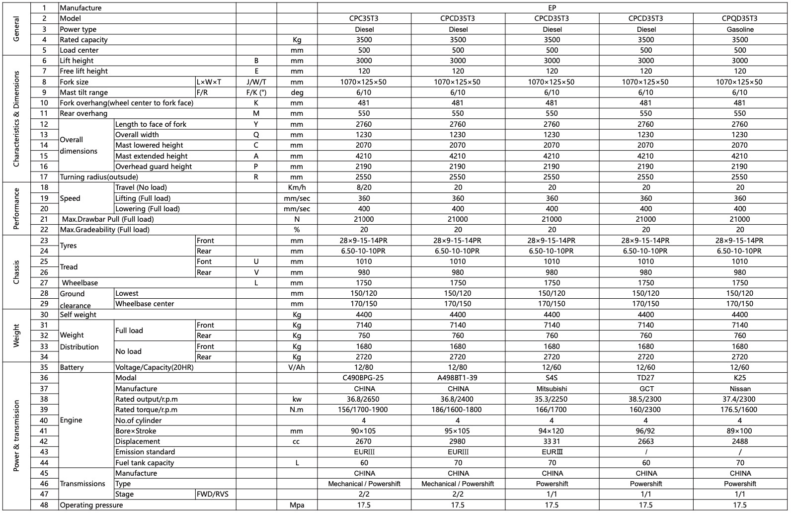
35T3

Unduh Brosur
WhatsApp